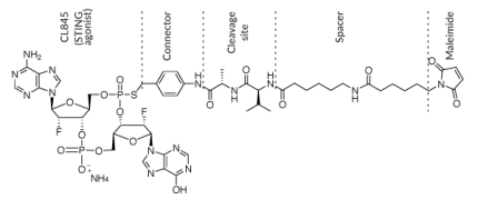
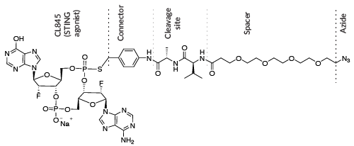
STG-982 (maleimide) and STG-968 (azido) - Conjugatable STING Ligands

Conjugatable cyclic dinucleotides

ABOUT

STING agonists for bioconjugation - VacciGrade™

STG-982 and STG-968 are two conjugatable PRR ligands that target STING (stimulator of interferon genes) and are designed to foster research on immunotherapeutic tools. These ligands were synthesized from an analog of the CL656 cyclic dinucleotide (CDN) and engineered to allow the generation of bioconjugates after attachment to a protein of interest (POI) with a chemical linker.

  • STG-982 is a ready-to-use reagent, bypassing the need for linker design. It features a maleimide group that reacts with free thiols on the POI.
  • STG-968 allows a flexible choice of linker for conjugation to the POI. It features an azido group that reacts with an azido-reactive group on the linker.

More details


The conjugation of STG-982 or STG-968 to monoclonal antibodies to generate immunostimulatory antibody-drug conjugates (ADCs, also known as ISACs). Such ADCs allow localized STING activation and antibody-mediated effector functions.
The conjugation of STG-982 or STG-968 to antigenic peptides/proteins to generate antigen-adjuvant conjugates (AACs). Such AACs enable the co-delivery of antigen and STING agonist to antigen-presenting cells (APCs), thereby facilitating improved antigen processing and presentation for the induction of adaptive immune responses.
 

Key features

  • Two formats: "pre-linked" for immediate use, or "click-chemistry compatible" for flexible choice of linker
  • Biological activity has been confirmed using cellular assays
  • Conjugation to a mAb and subsequent activation of STING has been validated using cellular assays
  • STG-982 and STG-968 are VacciGrade™, a high-quality pre-clinical grade.

Applications

  • ADC-driven immunomodulation
  • AAC-mediated vaccination
     

     

Learn moreLearn more about bioconjugation

All InvivoGen products are for internal research use only, and not for human or veterinary use.

VacciGrade™

VacciGrade™ is a high-quality pre-clinical grade, suitable for in vivo studies. VacciGrade™ products are filter-sterilized (0.2 µm) and filled under strict aseptic conditions in a clean room. The absence of  bacterial contamination is assessed by a sterility test using a pharmacopeia-derived assay.

SPECIFICATIONS

Specifications

Source
Synthetic
Target

STING

Chemical formula

STG-982: C51H63F2N14O16P2S • NH4
STG-968: C46H60F2N15O17P2S • Na

Purity
≥ 95% (UHPLC)
Solubility

STG-982: 10 mg/ml (7.8 mM) in DMSO
STG-968: 10 mg/ml (8 mM) in water

Appearance (form)
Lyophilized
Reconstitution buffer
DMSO
Sterility

Sterility guaranteed

Endotoxin

< 5 EU/mg (measurement by kinetic chromogenic LAL assay)

Applications

Antibody-drug conjugation (tested), antigen-adjuvant conjugation

Quality control

Each lot is functionally tested and validated.

Additional information

Molecular weight of STG-982: 1277.41 g/mol
Molecular weight of STG-968: 1250.07 g/mol

CONTENTS

Contents

  • Product: 
    STG-982
  • Cat code: 
    vac-stg982v2
  • Quantity: 
    250 µg
Notes:

These two conjugatable ligands are sold separately.

Shipping & Storage

  • Shipping method:  Room temperature
  • Storage:

    • -20°C
    Stability: -20°C for up to 6 months

    Caution:

    • Avoid repeated freeze-thaw cycles

Details

Given its critical implication in NF-κB- and IRF-mediated production of type I IFNs (IFN-α/β) and pro-inflammatory cytokines in response to cytosolic DNA, STING has been a privileged target for developing immunomodulatory therapeutics [1, 2]. Both STG-982 and STG-968 ligands were engineered from the proprietary CDN CL845, an analog of the clinical STING agonist CL656 [2-6].

Importantly, STING signaling is triggered upon ligand binding to a small pocket that cannot accommodate large molecules [1]. Therefore, once the bioconjugate has entered the target cell, CL845 must dissociate from the rest of the molecule. To secure this step, STING conjugatable ligands have been designed with a “cleavable linker” [7, 8], comprising a connector, a cleavage site, and a spacer that minimizes steric hindrance. In STG-982, the spacer consists of an Aca (6-Amino-Caproic acid) sequence. In STG-968, the spacer consists of a PEG (polyethylene glycol) sequence. In both STG-982 and STG-968, the cleavage site consists of a Val-Ala dipeptide, a substrate of the lysosomal protease cathepsin B [8]. A PAB (para-aminobenzoic) connector ensures accessibility of Val-Ala for the protease and subsequent release of the STING ligand—connector section [7]. Then, the PAB connector undergoes rapid and spontaneous self-immolating elimination, and the CL845 STING agonist is free [8].

 

References:

1. Zhang H., et al. 2020. Targeting Stimulator of Interferon Genes (STING): a medicinal chemistry perspective. Journal of Medicinal Chemistry. 63(8):3785.
2. Jang S., et al. 2021. ExoSTING, an extracellular vesicle loaded with STING agonists, promotes tumor immune surveillance. Commun. Biol. 4:497.
3. Pro-cyclic dinucleotides and pro-cyclic dinucleotide conjugates for cytokine induction. WO 2019/129880A1 and foreign equivalents.
4. Cyclic dinucleotides for cytokine induction, patent US10011630B2 and foreign equivalents.
5. Lioux T., et al. 2016. Design, synthesis, and biological evaluation of novel cyclic adenosine-inosine monophosphate (cAIMP) analogs that activate stimulator of interferon genes (STING). J. Med. Chem. 59:10253.
6. https://clinicaltrials.gov/ct2/show/NCT04592484
7. Drago J.Z, et al. 2021. Unlocking the potential of antibody-drug conjugates for cancer therapy. Nat Rev Clin Oncol. 18(6):327.
8. Poreba M., 2020. Protease-activated prodrugs strategies: challenges, and future directions. The FEBS Journal. 287(10):1936.

DOCUMENTS

Documents

STG-982

Technical Data Sheet

Validation Data Sheet

Safety Data Sheet

Certificate of analysis

Need a CoA ?

CUSTOMER SERVICE & TECHNICAL SUPPORT

Question about this product ?